Oggi è martedì 4 novembre 2025, 19:31

Martedì 14.12.10 Murella

Argomenti attivi

Tutti gli orari sono UTC + 1 ora [ ora legale ]




Apri un nuovo argomento Rispondi all’argomento  [ 9 messaggi ] 
Autore Messaggio
 Oggetto del messaggio: Martedì 14.12.10 Murella
MessaggioInviato: lunedì 13 dicembre 2010, 14:17 
Connesso
Amministratore
Avatar utente

Messaggi: 22234
Età: 56
Località: Castelnuovo di Porto (RM)
Il mio programma d'allenamento, dopo la prima di sabato,
prevede la seconda puntata di rip. (domenica sono stato solo di supporto)

Tracciato prescelto, intorno la salita della Murella dove farò le rip. in salita

Quindi riscaldamento sulla Flaminia fino alla Murella, poi rip. su è giù in salita

Quindi agilità sulla Flaminia, verso il km50 e ritorno,
x finire sulla Campagnanese in defaticamento

Vorrei farla con partenza all'ora di pranzo

_________________
Segui il tuo cuore e divertiti sempre!

I miei numeri


Top
 Profilo  
 
 Oggetto del messaggio: Re: Martedì 14.12.10 Murella
MessaggioInviato: lunedì 13 dicembre 2010, 16:11 
Avatar utente

Messaggi: 3808
Età: 48
Località: Formello
io non posso......salsicce! :oops:

_________________
Sergio


Top
 Profilo  
 
 Oggetto del messaggio: Re: Martedì 14.12.10 Murella
MessaggioInviato: lunedì 13 dicembre 2010, 19:07 
Avatar utente

Messaggi: 3938
Età: 56
Località: Foligno
oggi 35 km in mtb con la mia amica tanta agilita' domani un'altra uscita e mercoledi riposo permettero' a mia sorella di camminare l'ho vista un po' giu di corda :)))
che mondo difficile !!!!
cipollina

_________________
FOLIGNO lu centru de lu munnu


Top
 Profilo  
 
 Oggetto del messaggio: Re: Martedì 14.12.10 Murella
MessaggioInviato: lunedì 13 dicembre 2010, 23:48 
Avatar utente

Messaggi: 4221
Età: 60
Località: Rignano Flaminio
io non posso smonto dalla notte ( dopo tre notti sò rintronato :lol: :lol: )

sono libero mercoledì e giovedì :o

_________________
Essere forti per essere utili..
(G. Hébert)


Top
 Profilo  
 
 Oggetto del messaggio: Re: Martedì 14.12.10 Murella
MessaggioInviato: martedì 14 dicembre 2010, 11:04 
Avatar utente

Messaggi: 1293
Età: 61
Località: Aadispoli
io, più che uscire, entro e, per iniziare, :lol: :lol: mi faccio 'sto giretto;)


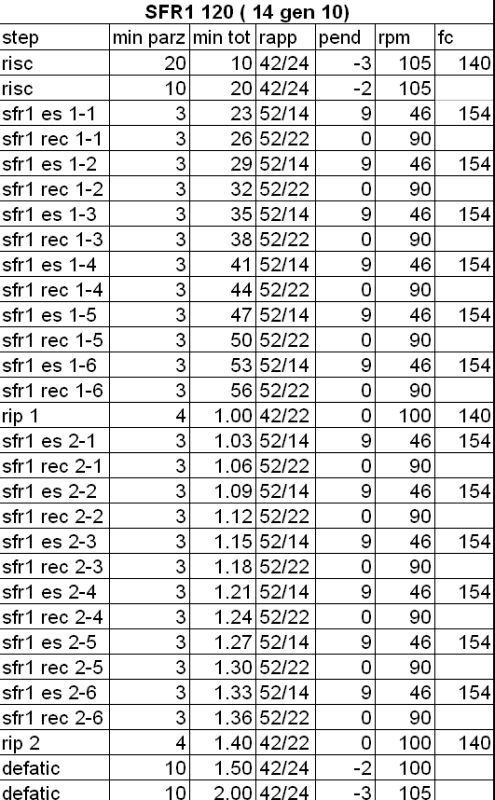
Allegati:
Commento file: La prima SFR
SFR 1 Capitano.jpg
SFR 1 Capitano.jpg [ 116.13 KiB | Osservato 2873 volte ]

_________________
Nel suono della campana del tempio di Gion, vi è l'eco dell'impermanenza di tutte le cose. Anche i coraggiosi alla fine purtroppo spariscono, in tutto uguali a polvere di fronte al vento.
(Heike Monogatari)
Top
 Profilo  
 
 Oggetto del messaggio: Re: Martedì 14.12.10 Murella
MessaggioInviato: martedì 14 dicembre 2010, 11:11 
Connesso
Amministratore
Avatar utente

Messaggi: 22234
Età: 56
Località: Castelnuovo di Porto (RM)
Capitano ha scritto:
io, più che uscire, entro e, per iniziare, :lol: :lol: mi faccio 'sto giretto;)

ottimo capitano..
sicuramente al calducciio sarai, bello estivo... :D
eddajeee ;)

_________________
Segui il tuo cuore e divertiti sempre!

I miei numeri


Top
 Profilo  
 
 Oggetto del messaggio: Re: Martedì 14.12.10 Murella
MessaggioInviato: martedì 14 dicembre 2010, 12:47 
Connesso
Amministratore
Avatar utente

Messaggi: 22234
Età: 56
Località: Castelnuovo di Porto (RM)
Castelnuovo ore 11.45

Sereno
Strada asciutta
Vento debole da Nord
Temperatura lato Nord 3° (ombra)
Temperatura lato Sud 15° (sole)

Parto adesso x l'allenamento specifico, oggi alla Murella

Abbigliamento:
sotto 3/4 felpato,
sopra intimo medio, maglia felpata e gilet in tasca,
copriscarpe leggeri con calza media, fascia x la testa windtex, guanti estivi

Non ho molto tempo, quindi farò la parte essenziale, circa 2ore 15'

A dopo

_________________
Segui il tuo cuore e divertiti sempre!

I miei numeri


Top
 Profilo  
 
 Oggetto del messaggio: Re: Martedì 14.12.10 Murella
MessaggioInviato: martedì 14 dicembre 2010, 14:06 
Avatar utente

Messaggi: 1028
Età: 55
Località: Acilia
e io oggi faccio le ripetute sui rulli :twisted: allenamento di sabato sui rulli
eddajeeeeeeeeeeeeeee
a dopo

a proposito il CUCCIA era buono ma non ho fatto intempo a fotografarlo ;) :lol: :lol: :lol: :lol:

_________________
Chi cerca di possedere un fiore vede la sua bellezza appassire.
Ma chi lo ammira in un campo lo porterà sempre con se. (P. Coelho)


Top
 Profilo  
 
 Oggetto del messaggio: Re: Martedì 14.12.10 Murella
MessaggioInviato: martedì 14 dicembre 2010, 15:29 
Connesso
Amministratore
Avatar utente

Messaggi: 22234
Età: 56
Località: Castelnuovo di Porto (RM)
ariecchime..appena rientrato

lo stretto necessario ma fatto alla grande
x strada 6°, abbigliamento perfetto come elencato nel post qua sopra, con la variante guanti lunghi
riscaldamento bello agile di 31', cuoricino medio 132
poi su e giù x la murella priva di auto,
c'ero solo io e la montagna del soratte che mi guardava dall'alto dei suoi 700m.
la salita è circa 1-1,5% + dura di talocci, ma tenendo sotto controllo battiti e rpm, tutto rimane uguale,
oggi 1 dente + agile x rimanere nel range, 50x16
finito le rip in salita, via x l'agilità sulla flaminia, non è il massimo ma oggi x rimanere nei tempi andava bene
modulando i rapporti a seconda delle variazione delle pendenze, non è piatta come ritornare da talocci
ho chiuso 1 ora con circa 110 rpm medi, 145 battiti medi
finendo proprio sotto casa

km 60, 2 ore 8', 90 rpm medi, 139 battiti medi e 860m. di dislivello a 28.1 di media

_________________
Segui il tuo cuore e divertiti sempre!

I miei numeri


Top
 Profilo  
 
Visualizza ultimi messaggi:  Ordina per  
Apri un nuovo argomento Rispondi all’argomento  [ 9 messaggi ] 

Tutti gli orari sono UTC + 1 ora [ ora legale ]


Chi c’è in linea

Visitano il forum: Nessuno e 8 ospiti


Non puoi aprire nuovi argomenti
Non puoi rispondere negli argomenti
Non puoi modificare i tuoi messaggi
Non puoi cancellare i tuoi messaggi
Non puoi inviare allegati

Cerca per:
Vai a:  


Powered by phpBB © 2000, 2002, 2005, 2007 phpBB Group • Traduzione Italiana phpBB.it
Style originally created by Volize © 2003 • Redesigned SkyLine by MartectX © 2008 - 2009
A.S.D. TEAMAX G.C. (P.Iva/C.F. 11269271000)

Traduzione Italiana phpBB.it